摆球质量不均匀能准确测出重力加速度吗?

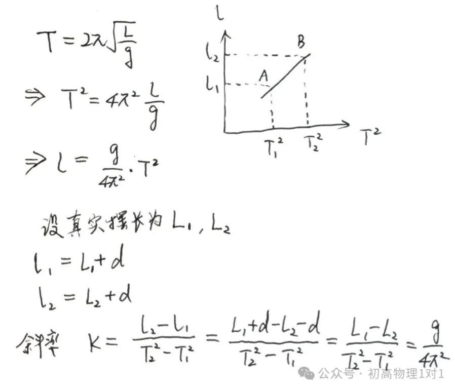
一个圆形的摆球,如果质量分布不均匀,测量的时候还是把悬挂点到摆球中心的距离当成摆长,势必会造成测量结果不准确。但是,如果将测量的摆长和周期平方的函数图像画出来,那么通过所画直线斜率计算出来的重力加速度却是比较准确的,一起来看过程:

可见,计算斜率的时候正好将摆长的误差抵消掉了。值得注意的是,这里的前提是摆球,如果不是摆球,情况要复杂许多。

 

请文明评论,理性发言.
分享用户
admin
文档
文章
特斯拉
个性签名
暂无个性签名